• Formula : LiH3IN
  • Space Group : P2_1 (4)
    Centrosymmetric : False
    Dimensionality : 1D
  • Structure parameters
    a = 4.493
    b = 6.077
    c = 7.512
    α = 90.0
    β = 107.15
    γ = 90.0
  • Number of atoms per primitive cell = 12
    Total number of electrons per primitive cell = 36
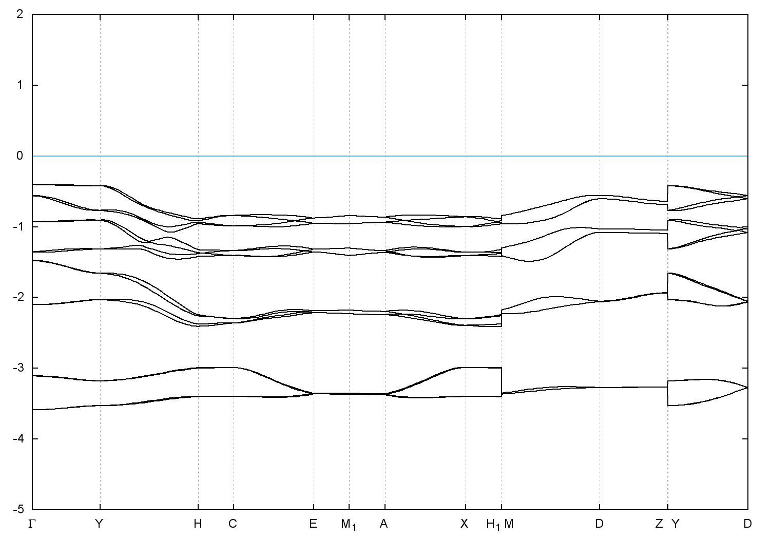
  • Band gap = 3.8239 eV
    Direct Gap = 3.825 eV
    Metallicity = 0.000
    Topological Z2 indices ν = (0;000)
  • scf.in - scf.out - bands.in - bands.out
  • Reference: ICSD Collection Code: 55064

Band structure with spin-orbit coupling