• Formula : VH6(OF)3
  • Space Group : R3m (160)
    Centrosymmetric : False
    Dimensionality : 1D
  • Structure parameters
    a = 7.233
    b = 7.233
    c = 8.329
    α = 90.0
    β = 90.0
    γ = 120.0
  • Number of atoms per primitive cell = 13
    Total number of electrons per primitive cell = 58
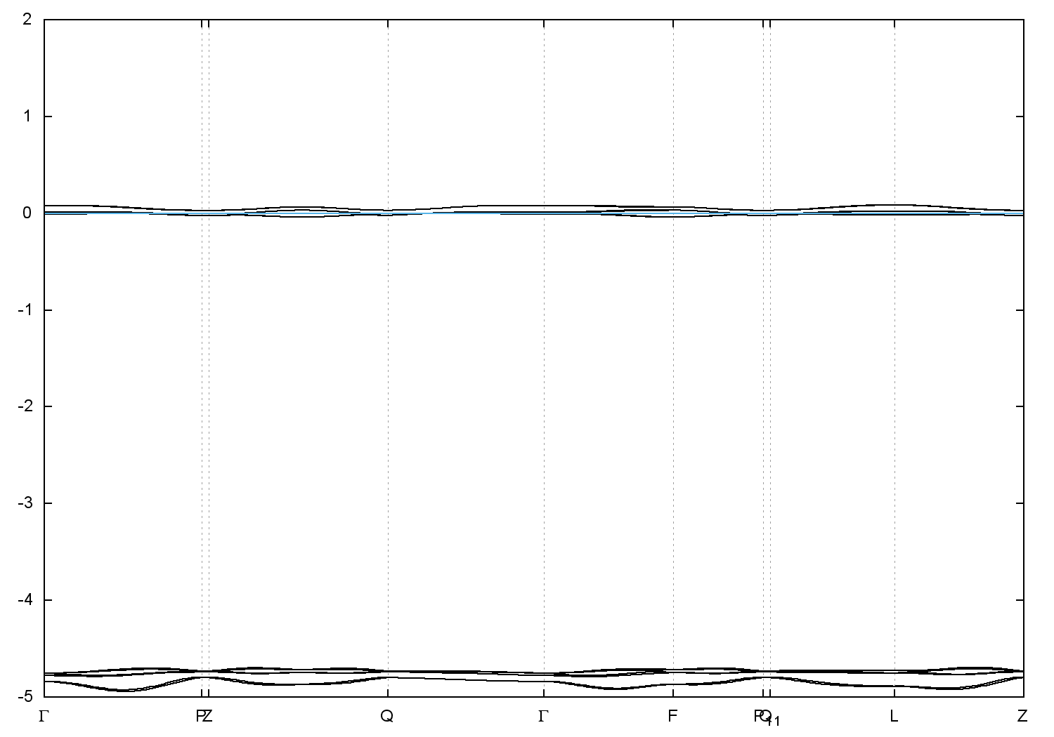
  • Band gap = 0.0 eV
    Direct Gap = 0.000 eV
    Metallicity = 0.289
    Topological Z2 indices ν = (0;000)
  • scf.in - scf.out - bands.in - bands.out
  • Reference: ICSD Collection Code: 69571

Band structure with spin-orbit coupling


Wannier charge center (WCC) at six time-reversal invariant planes