• Formula : Rb2SnSe3
  • Space Group : P-1 (2)
    Centrosymmetric : True
    Dimensionality : 1D
  • Structure parameters
    a = 7.221
    b = 7.9
    c = 8.983
    α = 74.03
    β = 70.87
    γ = 66.1
  • Number of atoms per primitive cell = 12
    Total number of electrons per primitive cell = 100
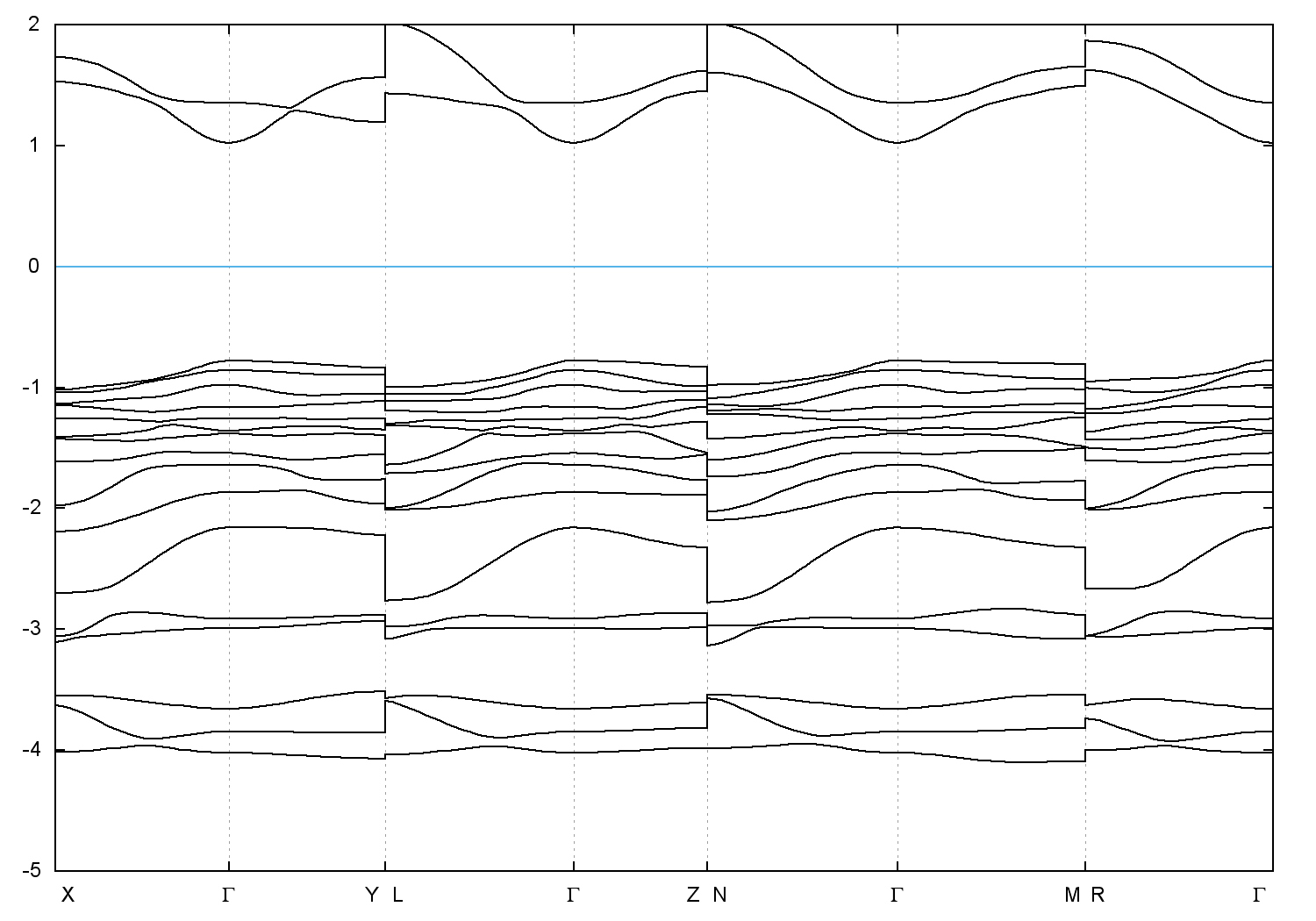
  • Band gap = 1.8024 eV
    Direct Gap = 1.802 eV
    Metallicity = 0.000
    Topological Z2 indices ν = (0;000)
  • scf.in - scf.out - bands.in - bands.out
  • Reference: ICSD Collection Code: 74844

Band structure with spin-orbit coupling