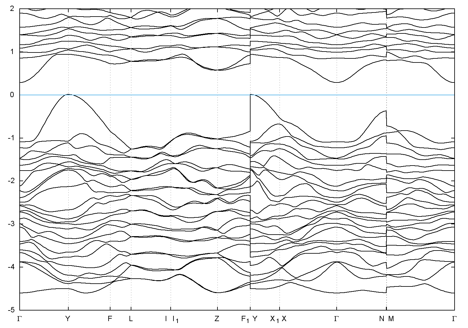
• Formula : ZrTl2PbSe4
  • Space Group : C2/c (15)
    Centrosymmetric : True
    Dimensionality : 3D
  • Structure parameters
    a = 15.906
    b = 8.4716
    c = 7.0161
    α = 90.0
    β = 109.014
    γ = 90.0
  • Number of atoms per primitive cell = 16
    Total number of electrons per primitive cell = 136
  • Band gap = 0.0 eV
    Direct Gap = 0.930 eV
    Metallicity = 0.030
    Topological Z2 indices ν = (0;000)
  • scf.in - scf.out - bands.in - bands.out
  • Reference: ICSD Collection Code: 237508

Band structure with spin-orbit coupling