• Formula : Rb3Na(RuO4)2
  • Space Group : P-3m1 (164)
    Centrosymmetric : True
    Dimensionality : 1D
  • Structure parameters
    a = 6.0784
    b = 6.0784
    c = 7.8994
    α = 90.0
    β = 90.0
    γ = 120.0
  • Number of atoms per primitive cell = 14
    Total number of electrons per primitive cell = 116
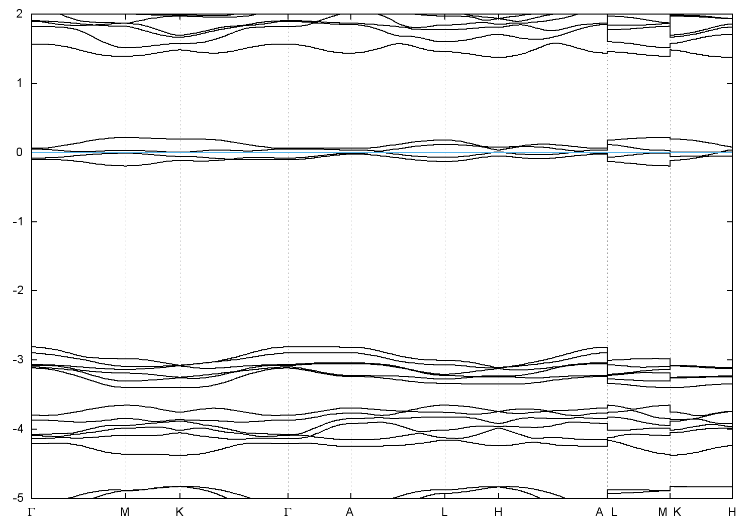
  • Band gap = 0.0 eV
    Direct Gap = 0.003 eV
    Metallicity = 0.072
    Topological Z2 indices ν = (0;001)
  • scf.in - scf.out - bands.in - bands.out
  • Reference: ICSD Collection Code: 416038

Band structure with spin-orbit coupling